说起高斯(1777—1855),他不但是一个著名的数学家,还是一个天文学家、物理学家,他的学术成果横跨代数、几何数论、分析、统计等各个领域;是令大学生闻风丧胆的定理制造者。
高斯出生在德国的布伦瑞克家庭并不富裕,母亲是一位没有受过教育贫穷石匠的女儿,父亲曾做过工头、商人的助手、和一个小保险公司的评估师。
一段为人熟知的轶事是,高斯三岁时便能够纠正他父亲的借债帐目。高斯从小聪明过人,高斯的父亲是泥瓦厂的工头,每星期六他总是要发薪水给工人,一天晚上,他父亲算帐发薪水给工人,算完之后,才三岁的小高斯小高斯站了起来说:“爸爸,你弄错了。” 并说了另外一个数目。原来三岁的小高斯趴在地板上,一直暗地里跟着他爸爸计算该给谁多少工钱。重算的结果证明小高斯是对的,这把站在那里的大人都惊得目瞪口呆。
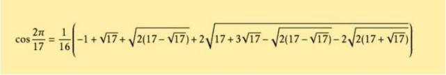
高斯19岁时就破解千年数学难题,在数学家欧几里提出了可以用尺规作图之后,数学家们纷纷开始研究仅用没有刻度的直尺和圆规该如何做出各种图。虽然用尺规能做出大部分的图,但在正多边形的尺规作图时却遇到了难题,尤其是正十七边形的尺规作图法,难倒了2000多年来的许多数学家。甚至有人认为正十七边形是不可能只用尺规做出来的。
但是在1796年的3月30日,高斯在研究这道题时记录了自己的发现,得到了下图这个公式,证实了正十边形尺规作图的可行性,他把这个称为“圆的分割率”。当时轰动了整个数学界,而这时的高斯仅有19岁。
高斯是个充满热情且工作认真的完美主义者。他从来不是个多产作家,他拒绝发布他认为不完整和有瑕疵的作品,这符合他个人的座右铭。他的个人日记里有说到,他在几年还是几十年前就已提出了一些重要的数学发现,与他同一时代的人发表了他的发现。数学历史学家埃里克·梵钟估计,若高斯及时发表他的发现,将使高等数学往前推50年。
印在邮票上的高斯
高斯不仅对纯粹数学作出了意义深远的贡献,而且对20世纪的天文学、大地测量学和电磁学的实际应用也作出了重要的贡献。高斯开辟了许多新的数学领域,从最抽象的代数数论到内蕴几何学,都留下了他的足迹。从研究风格、方法乃至所取得的具体成就方面,他都是18─19世纪之交的中坚人物。
如果我们把18世纪的数学家想象为一系列的高山峻岭,那么最后一个令人肃然起敬的巅峰就是高斯;如果把19世纪的数学家想象为一条条江河,那么其源头就是高斯。高斯是”人类的骄傲”。天才、早熟、高产、创造力不衰。 爱因斯坦曾评论说:“高斯对于近代物理学的发展,尤其是对于相对论的数学基础所作的贡献,其重要性是超越一切,无与伦比的。”

微信扫一扫打赏
支付宝扫一扫打赏