1.提取公因式
这个方法实际上是运用了乘法分配律,将相同因数提取出来,考试中往往剩下的项相加减,会出现一个整数。
注意相同因数的提取。
例如:
0.92×1.41+0.92×8.59
=0.92×(1.41+8.59)
2.借来借去法
看到名字,就知道这个方法的含义。用此方法时,需要注意观察,发现规律。还要注意还哦 ,有借有还,再借不难。
考试中,看到有类似998、999或者1.98等接近一个非常好计算的整数的时候,往往使用借来借去法。
例如:
9999+999+99+9
=9999+1+999+1+99+1+9+1-4
3.拆分法
顾名思义,拆分法就是为了方便计算把一个数拆成几个数。这需要掌握一些“好朋友”,如:2和5,4和5,2和2.5,4和2.5,8和1.25等。分拆还要注意不要改变数的大小哦。
例如:
3.2×12.5×25
=8×0.4×12.5×25
=8×12.5×0.4×25
4.加法结合律
注意对加法结合律
(a+b)+c=a+(b+c)
的运用,通过改变加数的位置来获得更简便的运算。
例如:
5.76+13.67+4.24+6.33
=(5.76+4.24)+(13.67+6.33)
5.拆分法和乘法分配律结合
这种方法要灵活掌握拆分法和乘法分配律,在考卷上看到99、101、9.8等接近一个整数的时候,要首先考虑拆分。
例如:
34×9.9 = 34×(10-0.1)
案例再现:57×101=?
6.利用基准数
在一系列数种找出一个比较折中的数字来代表这一系列的数字,当然要记得这个数字的选取不能偏离这一系列数字太远。
例如:
2072+2052+2062+2042+2083
=(2062×5)+10-10-20+21
7.利用公式法
(1) 加法:
交换律,a+b=b+a
结合律,(a+b)+c=a+(b+c)
(2) 减法运算性质:
a-(b+c)=a-b-c,
a-(b-c)=a-b+c
a-b-c=a-c-b
(a+b)-c=a-c+b=b-c+a
(3):乘法(与加法类似):
交换律,a*b=b*a
结合律,(a*b)*c=a*(b*c)
分配率,(a+b)xc=ac+bc
(a-b)*c=ac-bc
(4) 除法运算性质(与减法类似):
a÷(b*c)=a÷b÷c
a÷(b÷c)=a÷bxc
a÷b÷c=a÷c÷b
(a+b)÷c=a÷c+b÷c
(a-b)÷c=a÷c-b÷c
前边的运算定律、性质公式很多是由于去掉或加上括号而发生变化的。其规律是同级运算中,加号或乘号后面加上或去掉括号,后面数值的运算符号不变。
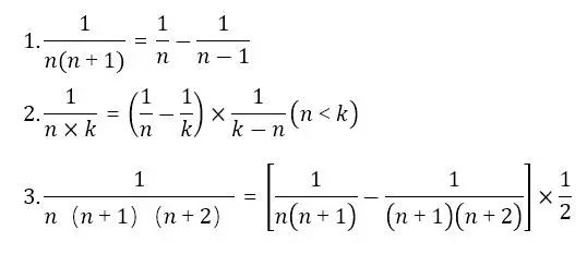
8.裂项法
分数裂项是指将分数算式中的项进行拆分,使拆分后的项可前后抵消,这种拆项计算称为裂项法。
常见的裂项方法是将数字分拆成两个或多个数字单位的和或差。遇到裂项的计算题时,要仔细的观察每项的分子和分母,找出每项分子分母之间具有的相同的关系,找出共有部分,裂项的题目无需复杂的计算,一般都是中间部分消去的过程,这样的话,找到相邻两项的相似部分,让它们消去才是最根本的。
分数裂项的三大关键特征:
(1)分子全部相同,最简单形式为都是1的,复杂形式可为都是x(x为任意自然数)的,但是只要将x提取出来即可转化为分子都是1的运算。
(2)分母上均为几个自然数的乘积形式,并且满足相邻2个分母上的因数“首尾相接”
(3)分母上几个因数间的差是一个定值。
公式:
配套习题

微信扫一扫打赏
支付宝扫一扫打赏